안녕하세요.
오늘은 글루타치온 효능 및 부작용에 대해서 알아보도록 하겠습니다.
글루타치온은 건강상의 효능을 제공하는 것으로 알려진 세포에서 생성되는 강력한 항산화제입니다. 글루타치온의 한 가지 독특한 점은 신체가 간에서 만들 수 있다는 것입니다. 이는 대부분의 항산화제에는 해당되지 않습니다. 글루타치온은 우리 몸의 독소를 제거하는 기능을 담당하는 간에서 생성되며 신체 노화가 진행되면서 분비량이 10년에 15%씩 감소하는 것으로 알려져 있습니다. 그렇기 때문에 영양제 형태로 복용하는 경우가 많습니다.






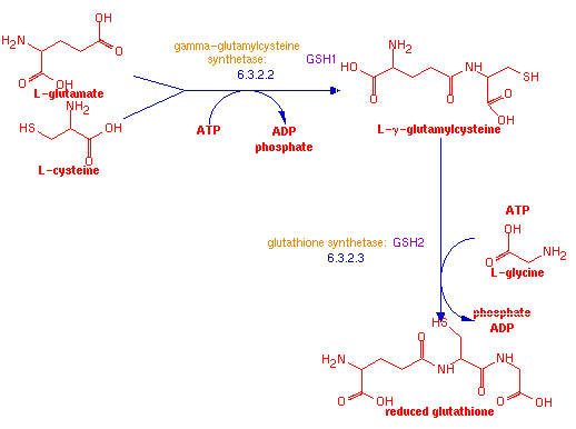
이렇게 생성되는 양이 줄면 해독작용에도 문제가 야기되어서 간 손상이나 간질환을 유발할 수도 있습니다. 글루타치온은 크게 글루타민, 글리신 및 시스테인의 세 가지 아미노산으로 구성됩니다. 아미노산은 서로 다른 패턴으로 결합하여 신체의 모든 단백질을 만듭니다.
신체의 글루타치온 수치는 영양 부족, 환경 독소 및 스트레스를 포함한 여러 요인에 의해 감소될 수 있습니다. 그 수준도 나이가 들면서 감소합니다. 이러한 글루타치온은 신체에서 자연적으로 생성되는 것 외에도 정맥 주사, 국소 주사 또는 흡입제로 투여할 수 있습니다. 이밖에도 캡슐 및 액체 형태의 경구 보충제로도 제공됩니다.
그럼, 글루타치온 효능 및 부작용에 대해 자세히 알아보도록 하겠습니다.
글루타치온 효능
글루타치온 효능 1. 항산화 효능
글루타치온 효능 첫 번째, 바로 항산화 효능입니다. 신체 모든 세포에서 발견된다고 알려진 글루타치온은 아주 좋은 항산화제로, 질병에 걸리는 것을 예방하며, 체내 세포 면역 체계를 지원해주는 역할을 합니다.






글루타치온 효능 2. 면역력 향상 효과
글루타치온 효능 두 번째, 글루타치온은 면역력을 향상 시키는 효과가 있습니다. 면역력이 떨어지게 되면 만성 염증에 시달릴 수 있는데요, 이런 만성 염증은 산화 스트레스를 증가시키게 됩니다. 글루타치온 보충으로 혈류의 염장, 또는 감염에 대한 면역 세포들의 반응을 향상시키게 되며, 향상된 면역 세포들은 기생충, 박테리아와 같은 바이러스 감염과 싸우는 역할을 하게 되어, 면역 체체계 능력을 향상 시킬 수 있게 됩니다.
글루타치온 효능 3. 두뇌 건강
글루타치온 효능 세 번째, 노화 관련 치매 혹은 알츠하이머 병은 자유 라디칼 손상으로 인하여 생기는 산화 스트레스가 원인이라는 공통적인 이유가 있습니다. 보충제 형태로 제공되는 글루타치온 주사는 기억력, 집중력, 인지 능력 등을 향상하게 됩니다. 더 나아가 해당 노화로 인한 치매 위험도 예방할 수 있습니다.






글루타치온 효능 4. 간 건강에 도움
글루타치온 효능 네 번째, 간염, 알코올 남용, 지방간 질환은 모두 간세포를 손상시킵니다. 2017년 이루어진 소규모 임상실험에서, 글루타치온은 항산화 특성과 해독 가능성으로 인해 비알코올성 지방간 질환을 치료하는 데 도움이 될 수 있다고 결론지었습니다.
연구자들은 이 효과를 확인하기 위해 더 큰 연구가 필요하다고 지적합니다. 간의 세포 사멸은 글루타치온을 포함한 항산화제의 결핍으로 인해 악화될 수 있습니다. 이것은 알코올을 남용하는 사람과 그렇지 않은 사람 모두에게 지방간 질환을 유발할 수 있습니다. 글루타치온은 알코올 및 비알코올성 만성 지방간 질환이 있는 개인의 혈액 내 단백질, 효소 및 빌리루빈 수치를 개선하는 것으로 나타났습니다.
글루타치온 효능 5. 관절 통증 완화
글루타치온 효능 다섯 번째, 류마티스 관절염은 관절 및 관절 주변에 인대에 영향을 주는 염증성 질환으로 글루타치온의 입증된 항염증과 항산화 특성을 류마티스 관절염의 경증 상태 및 중증도 관절염으로 인해 생기는 통증과 경직을 완화시키는데 도움이 되는 것으로 확인되었습니다.






글루타치온 효능 6. 노화 방지 및 피부 미용
글루타치온 효능 여섯 번째, 글루타치온은 세포를 건강하게 유지시키는데 도움을 주며, 잔주름, 주름 및 건강한 세포들이 죽는것을 방지하는 것에 도움을 줍니다. 특히 체내 세포에서 높은 수준의 글루타치온은 장수하거나, 피부 의 청결 및 질병 위험을 감소시켜주는 것을 말합니다. 일부 연구 발표에 따르면 피부 색소 침착을 줄이는데 도움을 주며 피부 미백을 유발하는데 도움을 주며 멜라닌이 생성 되는 것도 방지합니다.
글루타치온 효능 7. 해독 효과
글루타치온 효능 일곱 번째, 우리는 일상생활을 하면서 다양한 화학 물질과 독소에 노출이 됩니다. 예를 들면, 자동차 연기, 담배 연기, 대기 오염, 방사선, 살충제등이 이에 해당하는데요. 이러한 해당 물질들은 우리 몸속에서 발암 물질로 변할 수 있어, 몸속에서 배출시켜주는 게 중요합니다. 글루타치온은 해당 독소들을 수용성으로 만들어줘서 체내에서 쉽게 제거 할 수 있도록 작용시켜줍니다.






글루타치온 효능 8. 파킨슨병 증상 개선
글루타치온 효능 여덟 번째, 파킨슨병은 중추신경계에 영향을 미치며 떨림과 같은 증상으로 정의됩니다. 현재로서는 치료법이 없습니다. 한 오래된 연구에서는, 떨림 및 강직과 같은 증상에 대한 정맥 내 글루타치온의 긍정적인 효과를 기록했습니다. 더 많은 연구가 필요하지만, 이 사례 보고서는 글루타치온이 증상을 줄이는 데 도움이 될 수 있으며 이 질병에 걸린 사람들의 삶의 질을 향상시킬 수 있다고 제안했습니다.
또 다른 일부 연구에 따르면, 글루타치온 수치를 유지하는 것이 파킨슨병 증상에 도움이 될 수 있다는 증거가 있습니다.
이 발견은 주입된 글루타치온을 잠재적 치료법으로써 지지하는 것으로 보이지만, 경구로 인한 보충에 대한 증거는 거의 없었습니다. 글루타치온의 경구 투입에 대한 파킨슨병 증상 개선은 더 많은 연구가 필요해 보입니다.
글루타치온 효능 9. 자폐 어린이 관련 개선
글루타치온 효능 아홉 번째, 자폐증이 있는 어린이가 신경형 어린이 또는 자폐가 없는 어린이보다 글루타치온 수치가 낮다는 일부 증거가 있습니다.
2011년에 이루어진 연구에 의하면, 경구 글루타치온 보충제 또는 주사가 자폐증의 일부 영향을 줄일 수 있음을 발견했습니다. 그러나 팀은 어린이의 증상이 개선되었는지 구체적으로 살펴보지 않았기 때문에 이러한 영향을 확인하기 위해서는 추가 연구가 필요합니다.
또 다른 신뢰할 수 있는 여러 연구에 의하면, 자폐증이 있는 어린이는 뇌에서 산화 손상 수준이 더 높고 글루타치온 수준이 더 낮음을 나타냈습니다. 수은과 같은 물질로 인한 자폐아동의 신경학적 손상에 대한 감수성을 증가시켰습니다.
3세에서 13세 사이의 어린이에 대한 8주간의 임상 시험에서는 글루타치온의 경구 또는 경피 도포를 사용했습니다.
자폐증 증상 변화는 연구의 일부로 평가되지 않았지만 두 그룹의 어린이는 시스테인, 혈장 황산염 및 전혈 글루타티온 수준에서 개선을 보였습니다.






글루타치온 주의사항
간, 신장, 심장에 문제가 있는 경우에는 용량 조절을 필요로 합니다. 글루타치온의 잠재적인 위험성을 결정하는 적절한 연구는 없었기 때문에, 임신 중 혹은 모유 수유 중인 여성의 경우는 주의하는 것이 좋습니다.
알레르기가 있거나, 처방약 또는 비처방약을 복용 시, 음주나 흡연을 하는 경우 상호 작용이 발생할 수 있어, 전문가와 상의 후 사용하여야 합니다.
5세 미만의 어린아이에게는 사용하지 않는 것이 좋습니다.
간 질환 환자의 경우 글루타티온 보충제를 복용하면 상태가 악화될 수 있습니다.






글루타치온 부작용
글루타치온 경구 복용 시 2개월까지 매일 500mg까지는 심각한 부작용은 없는 것으로 나타났습니다. 경미한 부작용으로는 복부 경련, 복부 팽만감, 호흡곤란, 발진과 같은 알레르기 반응 등이 있습니다.
오늘은 강력한 항산화제 글루타치온 효능 및 부작용에 대해 알아보았습니다. 글루타치온 효능, 부작용, 주의사항 등을 잘 기억하셔서 건강관리에 도움이 되시길 바랍니다.
방문해주셔서 감사합니다.
댓글